How to convert the analog input (AI) value of ioLogik E2200 into volts?
To convert raw data from analog input of ioLogik E2200 into volts, use the following formulas.
You can use one of the following formulas to convert raw data (AI channel value; N-bit resolution) to volts:
If the raw data is > 2(N-1), use the following formula:

If the raw data is < 2(N-1), use the following formula:

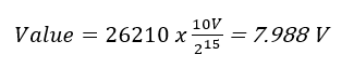
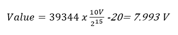
Example: If the AI channel value and N-bit resolution are +/-10 V and 16-bit respectively, the FullScale value is 20 V and the HalfScale value is 10 V; 2(N-1) = 32768.
If the analog input value is 26210, which is < 32768, the voltage is calculated as follows:

If the analog input value is 39344, which is > 32768, the voltage is calculated as follows:
